- Today
- Total
DATA101
๐๐ถ ๋ฐ๋ ค๋๋ฌผ ๊ฑด๊ฐ ๋ฐ์ดํฐ ๋ถ์ (๋ฐ์ดํฐ๋ถ์ ์ฌ๋กzip #1) ๋ณธ๋ฌธ
๐๐ถ ๋ฐ๋ ค๋๋ฌผ ๊ฑด๊ฐ ๋ฐ์ดํฐ ๋ถ์ (๋ฐ์ดํฐ๋ถ์ ์ฌ๋กzip #1)
๋๋๋ฆฌ 2025. 2. 12. 21:55๐ ๋ค์ด๊ฐ๋ฉฐ
ํ๋ ์ฌํ์์ ๋ฐ๋ ค๋๋ฌผ์ ๋จ์ํ ์ ์๋๋ฌผ์ ๋์ด ๊ฐ์กฑ์ ์ผ์์ผ๋ก ์๋ฆฌ ์ก๊ณ ์์ต๋๋ค.
ํ์ฌ ๋ฐ๋ ค๋๋ฌผ์ ์์กํ๊ณ ์๋ ์ธ๊ตฌ๋ ์ฝ 1,500๋ง ๋ช ์ผ๋ก, ์ด๋ ์ ์ฒด ์ธ๊ตฌ์ 28.2%์ด๋ ์ฐจ์งํ๊ณ ์์ฃ .
์ด์ฒ๋ผ ๋ฐ๋ ค๋๋ฌผ์ ์ธ์์ด ํ์ฐ๋จ์ ๋ฐ๋ผ ๊ฑด๊ฐ ๊ด๋ฆฌ์ ๋ํ ๊ด์ฌ๊ณผ ํ์์ฑ๋ ์ ์ฐจ ์ฆ๊ฐํ๊ณ ์์ต๋๋ค.
๋ฐ๋ ค๋๋ฌผ์ ์์กํ๋๋ฐ ๋๋ ์ํ๊ท ๋น์ฉ์ ์ฝ 15๋ง ์์ ๋ฌํ๋ฉฐ ์ด ์ค ์๋น ๋ถ๋ถ์ ๊ฑด๊ฐ ์ ์ง์ ๊ด๋ จ๋ ์ง์ถ๋ก ๋ํ๋ฉ๋๋ค.
์ด๋ ๋ณดํธ์๋ค์ด ๋ฐ๋ ค๋๋ฌผ์ ๊ฑด๊ฐ์ ๊ฐ์กฑ์ ๊ฑด๊ฐ๋งํผ์ด๋ ์ค์ํ๊ฒ ์ฌ๊ธด๋ค๋ ์ ์ ์์ฌํฉ๋๋ค.(๋ฐ๋ ค๋๋ฌผ ์๋ฃ๋ณดํ์ด ํ์ํ ์ด์ )
์ด์ ๋ณธ ๋ ํฌํธ๋ AI Hub์์ ์ ๊ณตํ๋ ๋ฐ๋ ค๋๋ฌผ ๊ฑด๊ฐ ๋ฐ์ดํฐ๋ฅผ ๋ถ์ํ์ฌ ์ฃผ์ ๊ฑด๊ฐ ๋ฌธ์ ์ ๊ด๋ฆฌ ๋ํฅ์ ํ์ ํ๊ณ ,
๋ณดํธ์๋ค์๊ฒ ๋ฐ์ดํฐ ๊ธฐ๋ฐ์ ์ ๋ณด๋ฅผ ์ ๊ณตํ์ฌ ๋ฐ๋ ค๋๋ฌผ ๊ฑด๊ฐ ๊ด๋ฆฌ ์์ค์ ๋์ด๋๋ฐ ๊ธฐ์ฌํ๊ณ ์ ํฉ๋๋ค.
๐จ๐ป ๋ฐ์ดํฐ
๋ฐ์ดํฐ์ถ์ฒ : AI Hub
2022๋ ์์งํ ๋ฐ์ดํฐ๋ก ๋ฐ๋ ค๋ฌ 60๊ฑด, ๋ฐ๋ ค๊ฒฌ 6075๊ฑด ์ด 6135๊ฑด์ ์ผ์ด์ค๊ฐ ์์์ต๋๋ค.
๋ฐ์ดํฐ์ ์ ์๋์ ๊ฐ์ ์ ๋ณด๋ฅผ ๊ฐ์ง๊ณ ์์ต๋๋ค.
1. ์์ฒด์ ๋ณด ๋ฐ์ดํฐ (9๊ฐ ํญ๋ชฉ)
* ํ์ข , ๋์ด, ์ฑ๋ณ, ์ฒด์ค, ๊ฒฌ๊ฐ๋ถ ๋์ด, ๋ชฉ ๋๋ , ๋ฑํ๋ฆฌ ๊ธธ์ด, ํ๊ณฝ๋๋ , ์ ์ฒด ์ถฉ์ค์ง์(BCS)
2. ์ํํจํด ๋ฐ์ดํฐ (7๊ฐ ํญ๋ชฉ)
* ์ด๋๊ฐ๋, ์ํํ๊ฒฝ(์ค๋ด์ธ), ๋ฐฐ๋ณ์ํ, ์์ดํ์, ์์ด ์์ฌ๋(์ข ์ด์ปต ๊ธฐ์ค 1ํ ์์ฌ๋), ์์ด ๊ฐ์๋(1ํ ์์ฌ๋ ๋๋น ๊ฐ์ ๋), ์์ฌ ์ข ๋ฅ
3. ์ํ์ ๋ณด ๋ฐ์ดํฐ (7๊ฐ ํญ๋ชฉ)
* ์ง๋ณ์ ๋ฌด, ์ง๋ณ์ฝ๋, C-๋ฐ์์ฑ ๋จ๋ฐฑ์ง, ๋ฉด์ญ๊ธ๋ก๋ธ๋ฆฐG, ์ธํฐ๋ฅํจ-6, ์ํ ํ์ ๋จ๋ฐฑ์ง, ์คํธ๋ ์ค ์ง์
๐ ๊ธฐ์ดํต๊ณ
1. ํ์ข ๋ถํฌ
๋ฐ๋ ค๊ฒฌ 28์ข (๊ธฐํ ํฌํจ), ๋ฐ๋ ค๋ฌ 7์ข (๊ธฐํํฌํจ)์ด ์กฐ์ฌ๋์์ผ๋ฉฐ,
์ ์ฒด ์กฐ์ฌ์ 76.5%(4657๊ฑด)์ด ํฌ๋ฉ๋ผ๋์(22.4%), ํธ๋ค(21.9%), ๋น์(17.9%), ๋งํฐ์ฆ(14.3%)๋ก ํ๊ตญ์์๋ ์ํ๊ฒฌ์ ์ ํธํจ์ ์ ์ ์์ต๋๋ค.


2. ์ฐ๋ น๋ถํฌ
์ฐ๋ น ๋ถ์ ๊ฒฐ๊ณผ, ์ ์ฒด ๋ฐ๋ ค๋๋ฌผ ์ค ์ฝ 80%๊ฐ 5์ด ๋ฏธ๋ง์ ์ํ๋ ๊ฒ์ผ๋ก ๋ํ๋ฉ๋๋ค.
์ด๋ ์๋กญ๊ฒ ๋ฐ๋ ค๋๋ฌผ์ ํค์ฐ๊ธฐ ์์ํ ๊ฐ๊ตฌ ๋ง์์ง๊ณ ์๋ค๋ ์๋ฏธ์ด๋ฉฐ ์๋ฐฉ์ ๊ฑด๊ฐ ๊ด๋ฆฌ์ ๋ํ ๊ด์ฌ์ด ๋์ฑ ํ์ํจ์ ์์ฌํฉ๋๋ค.

3. ์ฒด์ค ~ ์ง๋ณ, ๋น๋ง๋ ๋น๊ต
์ ๋ฐ์ ์ผ๋ก ์ํ๊ฒฌ๋ณด๋ค ๋ํ๊ฒฌ์ด ๋ชธ๋ฌด๊ฒ์ ํธ์ฐจ๊ฐ ํผ์ ํ์ธํ ์ ์์ต๋๋ค.
๋ํ๊ฒฌ์ ๊ฒฝ์ฐ ๊ฐ์ฒด ๊ฐ ํธ์ฐจ๊ฐ ํฌ๊ธฐ ๋๋ฌธ์ ๊ฑด๊ฐ ์ ์ง๋ฅผ ์ํ ๋ณ์ ์ ์ด์ ๋ ์ ๊ฒฝ์จ์ผ ํจ์ ์์ํด๋ณผ ์ ์์ต๋๋ค.
๋ํ, ํฌ๋ฉ๋ผ๋์, ํธ๋ค์ ๊ฒฝ์ฐ ์ด์์น ์ผ์ด์ค๊ฐ ๋ง์ ์ฒด์ค๊ด๋ฆฌ์ ํนํ ์ ๊ฒฝ์จ์ผ ํ๋ ํ์ข ์์ ์ ์ ์์ต๋๋ค.
์ง๋ณ์ ๊ฒฝ์ฐ ์ํ๊ฒฌ์์ ๋ง์ด ๋ฐ๊ฒฌ๋์ง๋ง, ์ง๋ณ ๋ณด์ ๊ฑด์๊ฐ 37๊ฑด์ผ๋ก ์ ์ฒด์ 2.1%์ด๊ธฐ ๋๋ฌธ์ ์ด ๋ฐ์ดํฐ์์ ์ํ๊ฒฌ์ด ๋ํ๊ฒฌ๋ณด๋ค ์ง๋ณ์ ์ ๊ฑธ๋ฆฐ๋ค๊ณ ์ผ๋ฐํํ๊ธฐ ์ด๋ ต์ต๋๋ค.

4. BCS(์ ์ฒด์ถฉ์ค์ง์)
BCS๋ ๋๋ฌผ์ ์ฒดํ์ด๋ ์ฒด์ค ์ํ๋ฅผ ํ๊ฐํ๋ ์งํ์ ๋๋ค. (์ ์๊ฐ ๋ฎ์์๋ก ๋ง๋์ผ๋ฉฐ, ๋์์๋ก ๋น๋ง์)
์ฒด์ค, ์ฒดํ์ ์ข ํฉ์ ์ผ๋ก ํ๊ฐํ๊ธฐ ๋๋ฌธ์ ๊ฑด๊ฐ ์ํ ํ์ ์ ์ ์ฉํ ์งํ์ ๋๋ค.
๋ณธ์กฐ์ฌ์์ 9์ ์ฒ๋๋ก ์กฐ์ฌํ์์ผ๋, ์ผ๋ฐํํ๊ธฐ ์ํด 4์ ์ฒ๋(Too Thin/IDEAL/Above IDEAL/Overweight+obese)๋ก ์ฌ๋ถ๋ฅํ์ฌ ์ดํด๋ณด์์ต๋๋ค.

4-1. ํ์ข ๋ณ BCS ๋ถํฌ
์ํ๊ฒฌ์ ๊ฒฝ์ฐ ๋ค๋ฅธ ์ข ์ ๋นํด ๋น์ด์์ ์ง์๊ฐ ๋์์ ํ์ธํ ์ ์์ต๋๋ค.

4-2. BCS์ ์ด๋๋ ๋น๊ต
์ด๋๋์ ๋ฐ๋ฅธ BCS์ ํจํด ์ฐจ์ด๊ฐ ๋์ง ์์์ต๋๋ค.
์ด๋ ์ด๋๋๊ณผ BCS๋ ์๊ด๊ด๊ณ๊ฐ ์์ ๊ฒ์ด๋ผ๋ ์์์ ๋ฒ์ด๋ ๊ฒฐ๊ณผ์์ต๋๋ค.


5. ์ํํจํด ๋ฐ์ดํฐ์ ์คํธ๋ ์ค ์ง์ ๊ด๊ณ ํ์ธ
์คํธ๋ ์ค๋ฅผ ๋ง์ด ๋ฐ๋ ํ์ข ์ค ๋ํ์ ์ผ๋ก ํธ๋ค๊ณผ ํฌ๋ฉ๋ผ๋์์ ์ดํด๋ณด๋ฉด ํธ๋ค์ ๊ฒฝ์ฐ ์ด๋๊ฐ๋๋ ํ๊ท ์ ๊ฐ๊น์ง๋ง ํ๋ฃจ ์์ดํ์๊ฐ ํ๊ท ์ด์์ ๋๋ค.
๋ฐ๋๋ก ํฌ๋ฉ๋ผ๋์ ์ญ์ ์ด๋๊ฐ๋๋ ํ๊ท ์ ๊ฐ๊น์ง๋ง ํ๋ฃจ ์์ดํ์๊ฐ ํ๊ท ์ดํ์ ๋๋ค.
์ 4๋ฒ์ ๊ฒฐ๊ณผ์ ์ด๋ฒ ๋ถํฌ๋ฅผ ๋ณผ ๋ ํธ๋ค๊ณผ ํฌ๋ฉ๋ผ๋์์ ์ด๋๋ณด๋ค๋ ์์ดํ์๊ฐ ์คํธ๋ ์ค์ ์ํฅ์ ๋ฏธ์น๋ค๋ ๊ฒ์ ์ ์ ์์ต๋๋ค.


๐ ์ธ๋ถ ๋ถ์
๊ธฐ์ด ํต๊ณ ๋ถ์์ ํตํด ํ๋ณธ์ ๋ฐ์ดํฐ ํธํฅ์ผ๋ก ์ธํด ์ผ๋ฐํ ํ๊ธฐ๊ฐ ์ด๋ ค์ฐ๋ฉฐ, ํ์ข ๊ฐ ์ฐจ์ด๊ฐ ์์์ ํ์ธํ ์ ์์์ต๋๋ค.
๋ฐ๋ผ์, ์ ์ฒด์ 76.5%(4657๊ฑด)์ ํด๋นํ๋ ํฌ๋ฉ๋ผ๋์, ํธ๋ค, ๋น์, ๋งํฐ์ฆ๋ก ๋ถ์๋์์ ์ขํ ์ผ์ฆ์ง์์ ๋ฏธ์น๋ ๋ณ์๋ฅผ ์์๋ณด๊ณ ์ ํฉ๋๋ค.
* ์ํ์ ๋ณด ๋ฐ์ดํฐ๋ ํ๋ณธ 4657๊ฑด ์ค 1304๊ฑด์๋ง ์กด์ฌํฉ๋๋ค.
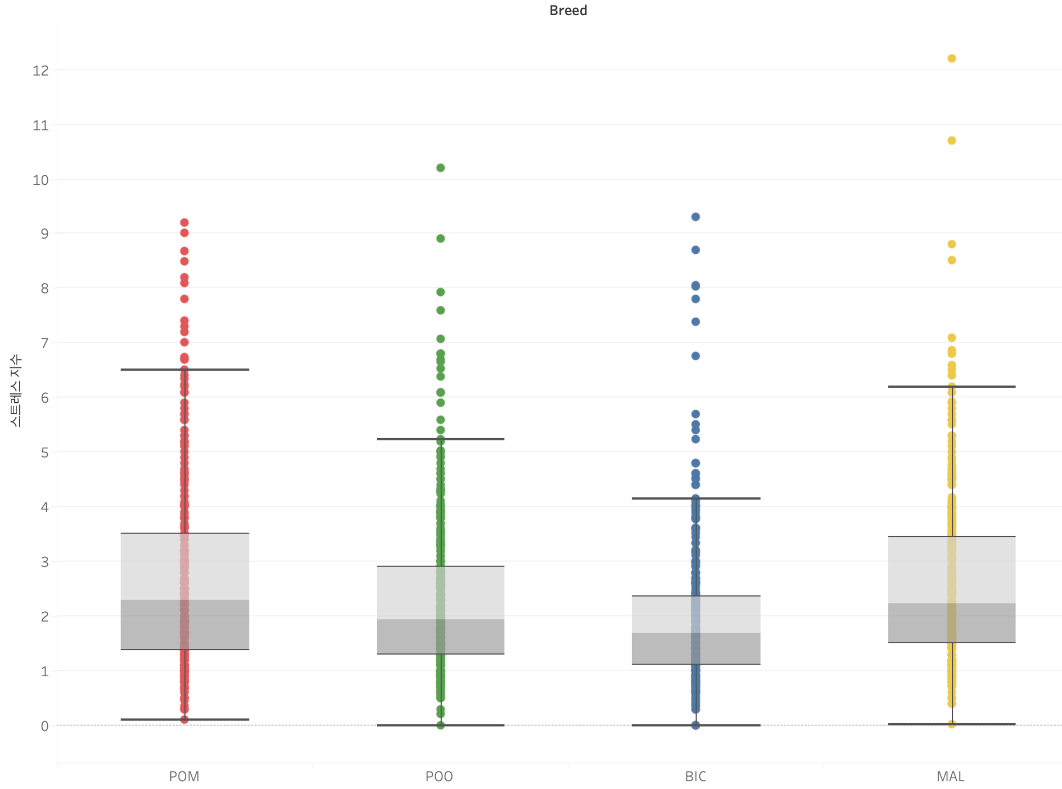
๊ฐ์ 1. ํ์ข ๋ณ๋ก ์คํธ๋ ์ค๋ฅผ ๋ฐ๋ ์ ๋๊ฐ ๋ค๋ฅผ ๊ฒ์ด๋ค.
- ํฌ๋ฉ๋ผ๋์, ๋งํฐ์ฆ, ํธ๋ค, ๋น์ ์์ผ๋ก ํ๊ท ์ ์ผ๋ก ์คํธ๋ ์ค๋ฅผ ๋ง์ด ๋ฐ์์ ํ์ธํ ์ ์์ต๋๋ค.
- ๊ทธ ์ค ๋น์์ ์คํธ๋ ์ค์ ๋ํด ๊ด๋ฆฌ๊ฐ ์ ๋๊ณ ์์ผ๋ฉฐ, ๊ฐ์ฒด๊ฐ ์ฐจ์ด๋ ํฌ์ง ์์์ ์ ์ ์์ต๋๋ค.
- ๊ทธ์ ๋นํด ํฌ๋ฉ๋ผ๋์๊ณผ ๋งํฐ์ฆ๋ ๊ฐ์ฒด๊ฐ ์ฐจ์ด๊ฐ ํฐ ๊ฒ์ ํ์ธํ ์ ์์ต๋๋ค.
- Anova๊ฒ์ ์ ์ํํ์ฌ p-value<0.05๋ก ํต๊ณ์ ์ผ๋ก ํ์ข ๊ฐ ์ฐจ์ด๊ฐ ์ ์๋ฏธํจ์ ํ์ธํ ์ ์์ต๋๋ค.
- ์ด๋ฅผ ํตํด ์คํธ๋ ์ค๋ฅผ ๋ฎ์ถ๊ธฐ ์ํด ํ์ข ๋ณ๋ก ๋ค๋ฅด๊ฒ ์ ๊ทผํด์ผ ํจ์ ๊ฒ์ฆํ์์ต๋๋ค.



๊ฐ์ 2. ์คํธ๋ ์ค ์ง์์ ์ผ์ฆ ์ง์ CRP, lgG, Il-6, AFP ๋ ์๊ด๊ด๊ณ๊ฐ ์๋ค.
* CRP(C-๋ฐ์์ฑ๋จ๋ฐฑ์ง) : ๊ฐ์์ ํฉ์ฑ๋๋ ๋จ๋ฐฑ์ง๋ก, ์ผ์ฆ์ด๋ ์กฐ์ง์์ ๋ฐ์์ ๊ธ๊ฒฉํ ์ฆ๊ฐ. ์ฒด๋ค ์ผ์ฆ ์์ค์ ๊ฐ์ ๋ฐ์ํฉ๋๋ค. ๋ค์ํ ๊ธ์ฑ, ๋ง์ฑ ์ผ์ฆ์ํ ํ๊ฐ ์ ์ฌ์ฉํ๋ฉฐ, ์คํธ๋ ์ค ๋ง์ฑํ๋ ์ ๋์์ง๋๋ค.
์ฌํ๊ด๊ณ์งํ, ์๊ฐ๋ฉด์ญ์งํ(๊ด์ ์ผ ๋ฑ), ๋ง์ฑ ์คํธ๋ ์ค, ๋น๋ง ๋ฐ ๋์ฌ ์ฆํ๊ตฐ๊ณผ ์ฐ๊ด ์์ต๋๋ค.
*lgG(๋ฉด์ญ๊ธ๋ก๋ถ๋ฆฐ) : ํญ์ฒด์ ์ผ๋ถ๋ก ์ ์ฒด ํ์ฒญ ํญ์ฒด์ 70~80%๋ฅผ ์ฐจ์งํฉ๋๋ค. ๋ฉด์ญ์ฒด๊ณ์ ํต์ฌ์ญํ ์ ํฉ๋๋ค.
*Il-6(์ธํฐ๋ฃจํจ-6) : ๋ฉด์ญ๋ฐ์, ์ผ์ฆ ์กฐ์ ์ ์ค์ ์ญํ ํ๋ฉฐ, ์คํธ๋ ์ค๋ ๊ฐ์ผ, ์ธ์์ ์ํด ํ์ฑํ๋์ด ์ผ์ฆ๋ฐ์์ ์ ๋ํฉ๋๋ค. ์ผ์ฆ ์ด๊ธฐ ๋ฐฉ์ด ๊ธฐ์ ์ผ๋ก ์์ฉํ์ง๋ง ๋ง์ฑ์ ์ผ๋ก ์ฆ๊ฐํ๋ฉด ์กฐ์ง ์์์ ์ด๋ํฉ๋๋ค.
*AFP(์ํํ์๋จ๋ฐฑ) : ํ์์ ๊ฐ, ์์ฅ๊ด ๋ฑ์์ ์์ฐ๋๋ ๋จ๋ฐฑ์ง๋ก ์ฑ์ธ์ ๊ฒฝ์ฐ ํน์ ์์ด๋ ๊ฐ์งํ์์ ์ฆ๊ฐํฉ๋๋ค.
2-1. ์คํธ๋ ์ค-์ผ์ฆ์ง์ ์๊ด๊ด๊ณ ํ์ธ
- ํ์ข ๋ณ๋ก ๋ฐ์ดํฐ ๋ถํฌ์ฐจ์ด๊ฐ ํฌ๊ฒ ๋์ง ์์ผ๋, lgG์ Il-6์ ๋ถํฌ ์ฐจ์ด๊ฐ ๋ณด์ ๋๋ค.

2-2. ํ์ข ๋ณ ์ผ์ฆ์ง์ ์ฐจ์ด ๋น๊ต
- ํฌ๋ฉ๋ผ๋์์ Il-6์ CRP๊ฐ ๋์ต๋๋ค. ์ผ์ฆ์ด ์ ๋ฐ์ํ๋ฉฐ, ์ด์ ๋ฐ๋ฅธ ๋ฉด์ญ๋ฐ์์ด ๋ง์ด ์ผ์ด๋๋ ๊ฒ์ ์ ์ ์์ต๋๋ค.
- ๋งํฐ์ฆ๋ ์๋์ ์ผ๋ก ๊ฐ์์ ์ทจ์ฝํ ๊ฒ์ผ๋ก ๋ํ๋ฌ์ต๋๋ค.
- ๋น์์ ์ผ์ฆ ์ง์๋ ๋ฎ์ ํธ์
๋๋ค. ๊ทธ๋ฌ๋ ๋ฉด์ญ๊ธ๋ก๋ถ๋ฆฐ์ด ๊ณผ๋ํ ๊ฒฝํฅ์ด ์์ต๋๋ค.
๋ฉด์ญ ๋ฐ์์ด ๊ณผ๋ํ ์ํ๋ก ๋ง์ฑ ์ผ์ฆ์งํ, ๊ฐ์ผ, ๋ค๋ฐ์ฑ ๊ณจ์์ข ๋ฑ์ผ๋ก ์ธํด ๋ํ๋ ์ ์๋ ํ์์ ๋๋ค. - ํธ๋ค์ ๋น์๊ณผ ๋ง์ฐฌ๊ฐ์ง๋ก lgG๊ฐ ๋์ ๋ฉด์ญ ๋ฐ์์ด ๊ณผ๋ํ ํธ์ ๋๋ค. ๋ํ CRP๊ฐ๋ ๋๊ฒ๋์ ๋ฉด์ญ๋ฐ์๊ณผ ๋๋ถ์ด ๊ฐ ์์น๊ฐ ๋์ ๊ฒ์ผ๋ก ์์๋ฉ๋๋ค.
- ์ผ๋ฐ์ ์ผ๋ก Il-6๊ฐ ๋์์ง๋ฉด ๊ฐ์์ CRP์์ฑ์ ์ด์งํฉ๋๋ค. ๋ชจ๋ ํ์ข ์์ ๋น๋ก๊ด๊ณ๊ฐ ์์ง๋ง, ํธ๋ค์์๋ง ๋ค๋ฅธ ํจํด์ ๋ณด์ธ๋ค๋ ํน์ด์ฌํญ๋ ์์์ต๋๋ค.


๊ฐ์ 3. ์ ์ฒด ์ง์์ BCS ์ง์๋ ์๊ด๊ด๊ณ๊ฐ ์์ผ๋ฉฐ, ํ์ข ๋ณ๋ก ๋ค๋ฅธ ํน์ง์ ๋ณด์ผ ๊ฒ์ด๋ค.
- ๋งํฐ์ฆ๊ฐ ์ ์ฒด ์ง์์ BCS ์ง์ ๊ฐ์ ๊ฐ์ฅ ๋์ ์๊ด๊ด๊ณ๋ฅผ ๋ณด์ด๋ฉฐ ๊ณตํต์ ์ผ๋ก ๋ชธ๋ฌด๊ฒ์ ๊ฐ์ด๋๋ ๊ฐ ํฐ ์๊ด๊ด๊ณ๋ฅผ ๋ณด์ ๋๋ค.

๊ฐ์ 4. ๋์ด์ ๋ฐ๋ผ ์คํธ๋ ์ค ๋ฐ ์ผ์ฆ์ง์ ์ฐจ์ด๊ฐ ์์ ๊ฒ์ด๋ค.
4-1. ๋์ด์ ๋ฐ๋ผ ์คํธ๋ ์ค ์ง์ ์ฐจ์ด๊ฐ ์๋ค.
- 0~1์ธ : ์ ๋ ๊ธฐ / 1~8์ธ : ์ฑ๋ ๊ธฐ / 8์ธ~ : ๋ ธ๋ ๊ธฐ๋ก ๊ตฌ๋ถ (American Animal Hospital Association ๊ธฐ๋ฐ)
- ์๋ ์ฌ์ง๊ณผ ๊ฐ์ด ๋ ธ๋ ๊ธฐ ๊ฐ์ฒด๋ค์ด ํ์ฐํ ์คํธ๋ ์ค๊ฐ ๋์์ ํ์ธ ๊ฐ๋ฅํฉ๋๋ค.

4-2. ๋์ด์ ๋ฐ๋ผ ์ผ์ฆ์ง์ ์ฐจ์ด๊ฐ ์๋ค.
- ๋ ธ๋ ๊ธฐ ๋ CRP, lgG ์ง์๊ฐ ํ์ฐํ ๋์์ ํ์ธํ ์ ์๋ค.
- Il-6์ ๊ฒฝ์ฐ๋ ์๋์ ์ผ๋ก ํธ์ฐจ๊ฐ ์ ๊ธดํ์ง๋ง ๋ ธ๋ ๊ธฐ ๋ ์ผ์ฆ์ง์๊ฐ ์๋์ ์ผ๋ก ๋๋ค.
- ๊ทธ๋ฌ๋ AFP๋ ์ฐ๋ น๋์ ํฌ๊ฒ ์๊ด์์์ ์ ์ ์๋ค.
- AFP์ ์ฐ๋ น๋์ ๋ฐ๋ฅธ ์ฐจ์ด๋ ANOVA๊ฒ์ ์ํ์ p-value๊ฐ์ด 0.6์ผ๋ก ์ฐจ์ด๊ฐ ์์์ ๊ฒ์ฆํ์๋ค.



๐ ๊ฒฐ๋ก
์ธ๋ถ ๋ถ์์ ํตํด ํฌ๊ฒ ์ธ๊ฐ์ง์ ๋ฐ๋ ค๊ฒฌ ๊ฑด๊ฐ ๊ด๋ฆฌ ๋ฐฉํฅ์ ์ ์ํ๊ณ ์ ํฉ๋๋ค.
1. ํ์ข ์ ๋ฐ๋ผ ์คํธ๋ ์ค ๋ฐ ์ผ์ฆ์ง์์ ์ฐจ์ด๊ฐ ์์ผ๋ฏ๋ก, ๊ฑด๊ฐ๊ด๋ฆฌ๋ฅผ ๋ค๋ฅด๊ฒ ์ ๊ทผํด์ผํ ํ์๊ฐ ์์ต๋๋ค.
- ํฌ๋ฉ๋ผ๋์์ ์คํธ๋ ์ค์ ์ทจ์ฝํ๋ฉฐ, ์ด์ ๋ฐ๋ฅธ ์ธํฐ๋ฅํจ-6์ CRP ์์ฑ์ด ์ด์ง๋์ด ์ผ์ฆ์ง์ ์์น์ ์ง์ ์ ์ธ ์ํฅ์ ๋ฐ์ต๋๋ค.
ํนํ ์คํธ๋ ์ค ๊ด๋ฆฌ์ ์ ์ํด์ผ ํฉ๋๋ค. - ํธ๋ค์ ์คํธ๋ ์ค๋ ์๋์ ์ผ๋ก ๋ ๋ฐ์ผ๋, CRP ์ง์๊ฐ ๋์ ์ผ์ฆ์ ์ทจ์ฝํจ์ ๋ณด์
๋๋ค.
ํน์ดํ๊ฒ AFP์ง์๊ฐ ๋ค๋ฅธ ์ข ๋ณด๋ค ๋์ผ๋ฏ๋ก ๊ฐ์์ ๋ํ ์๋ฐฉ์ ๋ฏธ๋ฆฌ ํด์ผํ ํ์๊ฐ ์๋ ๊ฒฌ์ข ์ ๋๋ค. - ๋น์์ ์คํธ๋ ์ค ๊ด๋ฆฌ๋ฅผ ์ํ๋ ๊ฒฌ์ข
์
๋๋ค.. ๋ค๋ฅธ ์ผ์ฆ์ง์๋ ๋ฎ์ผ๋ lgG๊ฐ์ด ๋์๋ฐ, ๊ณผ๋ฉด์ญ๋ฐ์์ ๋ณด์ด๋ ๋น์จ์ด ๋์ต๋๋ค.
์ด์, ๋ฉด์ญ๋ ฅ ๊ณผ๋ค์ ๋ฐ๋ฅธ ํผ๋ถ์งํ์ ์ ๊ฒฝ์ ์จ์ผ ํ๋ค. - ๋งํฐ์ฆ๋ ์คํธ๋ ์ค์ ์ทจ์ฝํ๋ฉฐ, ํธ๋ค๊ณผ ๋ง์ฐฌ๊ฐ์ง๋ก AFP์ง์๊ฐ ๋์ ๊ฐ ๊ฑด๊ฐ์ ์ ์ํด์ผํ ํ์๊ฐ ์์ต๋๋ค.
2. ๋ฐ๋ ค๋๋ฌผ์ ๋น๋ง๋๋ฅผ ํ์ธํ๊ธฐ ๊ฐ์ฅ ๊ฐ๋จํ ๋ฐฉ๋ฒ์ ์ก์์ผ๋ก ๋ณผ ๋ ๊ฐ์ด๋๋ ๊ฐ ์ปค์ก๋์ง๋ฅผ ํ์ธํ๋ ๊ฒ์ ๋๋ค.
- BCS์ ๊ฐ์ด๋๋ ๊ฐ ๊ฐ์ฅ ํฐ ์๊ด๊ด๊ณ๋ฅผ ๊ฐ์ต๋๋ค.
- ๋น๋ง์ ๋ค์ํ ์ง๋ณ์ ์์ธ์ด ๋๋ฏ๋ก, ๊ฐ์ด๋๋ ๊ฐ ์ปค์ง๋ ๊ฒ์ด ๋ณด์ผ ์ ์๋จ๊ด๋ฆฌ๋ฅผ ํด์ค ํ์๊ฐ ์์ต๋๋ค.
3. ๊ฐ์งํ์ ๊ฑธ๋ฆด ์ํ์ ์ฐ๋ น๋์ ๊ด๊ณ ์์ผ๋ฏ๋ก, ์ด๋ฆด ๋ ๋ถํฐ ๊ด๋ฆฌ๋ฅผ ํด์ฃผ์ด์ผ ํฉ๋๋ค.
- ๋ชจ๋ ์ผ์ฆ์ง์์ ์คํธ๋ ์ค์ง์๊ฐ ๋ ธ๋ ๊ธฐ ๋ ํ์ฐํ ๋์์ง์ ํ์ธํ ์ ์์ต๋๋ค. ๊ทธ๋ฌ๋ AFP๋ ์์ธ์ ๋๋ค.
- ๋ฐ๋ผ์, ๋์ด๊ฐ ์ด๋ฆฐ ๊ฒฌ์ข ์ด๋ผ๋ ๊ฐ ๊ฑด๊ฐ ๊ด๋ฆฌ์ ์ ๊ฒฝ์ ์จ์ผ ํฉ๋๋ค.
- ํนํ, AFP ๊ฐ์ด ๋๊ฒ ๋์จ ํธ๋ค๊ณผ ๋งํฐ์ฆ๋ ๊ฐ ๊ฑด๊ฐ์ ๋์ฑ ์ ์ํด์ผํ๋ ๊ฒฌ์ข ์ ๋๋ค.